With increasing exposure to blue light, environmental pollution, and oxidative stress, protecting human cells from free radical damage has become crucial. Among all natural antioxidants, antioxidant hydroxytyrosol (cas 10597-60-1)—has drawn scientific attention for its dual antioxidant power.
In this blog post, Viablife, a high purity hydroxytyrosol liquid manufacturer, will share the dual antioxidant mechanism of antioxidant hydroxytyrosol for sale and its structural and pathway synergistic effects.
Antioxidant Efficacy: In Vitro + In Vivo Dual Validation
In Vitro Studies: Hydroxytyrosol Protects Cells from Blue-Light Oxidative Stress
Cell experiments simulate one of the most common sources of modern oxidative stress—LED blue light exposure. When human keratinocytes and fibroblasts are irradiated with blue light, they experience a surge in reactive oxygen species (ROS) production, leading to cellular oxidation, collagen breakdown, and accelerated photoaging.

In these experiments, treatment with antioxidant hydroxytyrosol markedly suppressed the overproduction of ROS and protected cellular collagen from degradation. The response was dose-dependent—higher hydroxytyrosol concentrations corresponded with greater ROS inhibition.
This finding means hydroxytyrosol does not simply neutralize existing radicals; it effectively *prevents* oxidative chain reactions caused by light-induced stress. Under simulated LED light exposure, hydroxytyrosol-treated skin cells maintained their structural integrity and resisted oxidative injury, proving its strong in vitro antioxidant potential.
In short, hydroxytyrosol acts as a shield for skin and dermal cells, combating the hidden oxidative damage generated by everyday digital light sources—a discovery with direct relevance to topical skincare and cosmetic formulations containing hydroxytyrosol liquid.
In Vivo Studies: Strengthening the Skin' s Natural Defense
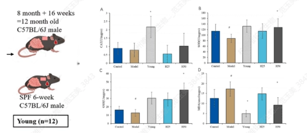
Beyond the petri dish, animal model experiments provide compelling *in vivo* evidence. In a model of skin oxidative aging induced by AGEs (advanced glycation end-products), mice treated with hydroxytyrosol displayed dramatically improved antioxidant enzyme activity.
Levels of SOD (superoxide dismutase) and GSH-Px (glutathione peroxidase) rose significantly, while MDA (malondialdehyde)—a marker of lipid peroxidation—decreased. These results indicate that hydroxytyrosol not only acts directly as a radical scavenger but also boosts the body' s internal antioxidant system.

This dual action reduced oxidative stress in tissues and restored skin homeostasis. Simply put, *hydroxytyrosol rejuvenates antioxidant capacity from within*—a result that validates its systemic efficacy in vivo.
Together, the cell and animal studies confirm that hydroxytyrosol' s antioxidant activity is both biochemically powerful and biologically meaningful, forming the foundation of its wide-ranging applications.
Dual Internal Antioxidant Mechanism: Structure + Pathway Synergy
Structural Advantage: The Ortho-Dihydroxy Phenolic Group
The extraordinary performance of antioxidant hydroxytyrosol originates in its ortho-dihydroxy (catechol) structure. This unique arrangement allows hydroxytyrosol to donate hydrogen atoms efficiently, interrupting free-radical chain reactions and stabilizing reactive species.
Comparative data show that catechol-type compounds with this structure have much stronger radical-scavenging capacity than those lacking it. In hydroxytyrosol' s case, this means it can directly neutralize hydroxyl radicals, superoxide radicals, and peroxynitrite, which are among the most harmful oxidative agents in biological systems.
This structural advantage explains its superior *in vitro* suppression of blue-light-induced ROS. The ability to stop radicals at their source gives hydroxytyrosol an immediate protective effect—forming the first line of antioxidant defense.

Pathway Regulation: Activating the Nrf2 Cellular Defense Network
The second mechanism is cellular and adaptive. Hydroxytyrosol does more than eliminate radicals—it also activates the Nrf2 signaling pathway, which orchestrates the body' s long-term antioxidant defense system.

Upon hydroxytyrosol treatment, Nrf2 (nuclear factor erythroid 2–related factor 2) translocates into the cell nucleus and binds to antioxidant response elements (AREs) in DNA. This activation triggers the expression of antioxidant and detoxification enzymes including SOD, GPx, GR (glutathione reductase), and GST (glutathione S-transferase).

Research shows that in hydroxytyrosol-treated cells, nuclear Nrf2 levels increase while cytosolic levels decrease, confirming successful activation and translocation. As a result, enzyme activities of GPx, GR, and GST are all significantly elevated.
This Nrf2 activation reduces ROS generation and enhances the cell' s ability to withstand oxidative stress—providing sustained antioxidant protection even after initial radical exposure.
Thus, hydroxytyrosol delivers two complementary mechanisms:
1. Immediate radical neutralization through its catechol structure.
2. Endogenous antioxidant activation through Nrf2 signaling.
This synergy—*structure + pathway*—creates a robust, multi-layered antioxidant defense unlike most conventional antioxidants that rely on a single mechanism.
Scientific Quality Behind Hydroxytyrosol: Supplier and Manufacturing Insight
Reliable sourcing is critical for translating laboratory findings into effective products. Hydroxytyrosol supplier Viablife is a globally recognized producer known for its precision fermentation and bio-based extraction technology.
As a hydroxytyrosol manufacturer Viablife, the company ensures consistent purity, high stability, and traceable production standards across all batches. Its hydroxytyrosol liquid formulation simplifies integration into skincare serums, nutritional beverages, or dietary supplements without compromising potency.
For brands or formulators seeking hydroxytyrosol for sale, Viablife provides not only bulk materials but also technical support, formulation guidance, and regulatory documentation. This scientific transparency helps bridge research and commercialization, making it easier to develop next-generation antioxidant products grounded in verified efficacy.
From Lab to Life: Real-World Applications of Antioxidant Hydroxytyrosol
Thanks to its dual validation and synergistic mechanisms, hydroxytyrosol has become a versatile ingredient in multiple sectors:
* Skincare and cosmetics: prevents oxidative photoaging, protects collagen, and soothes blue-light stress in topical formulations.
* Functional foods and beverages: hydroxytyrosol liquid fortifies drinks and supplements with natural antioxidant activity.
* Nutraceuticals: supports cardiovascular and neurological health through systemic ROS control.
* Pharmaceutical research: being explored for chronic inflammation, metabolic, and neurodegenerative disorders linked to oxidative damage.
Its proven ability to restore antioxidant balance both externally and internally positions hydroxytyrosol as a next-generation bioactive for holistic protection.
Conclusion
From *in vitro* cellular assays to *in vivo* animal models, antioxidant hydroxytyrosol consistently demonstrates its ability to combat oxidative stress, reduce ROS, and enhance enzymatic defense. Its dual antioxidant mechanisms—a powerful structural free-radical scavenging core plus activation of the Nrf2 defense pathway—ensure comprehensive protection from molecular to systemic levels.
Supported by research and produced with precision by hydroxytyrosol supplier Viablife, this natural compound exemplifies how modern biotechnology and molecular understanding converge to deliver tangible health and beauty benefits.
Whether in skincare, nutrition, or advanced wellness formulations, hydroxytyrosol stands as a benchmark for the future of bioactive antioxidants—scientifically proven, structurally potent, and biologically intelligent.





Leave a Message